Image from
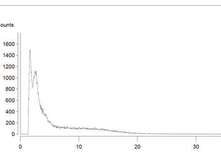
Holi-Colours contain particulates (particle diameter < 10 µm); analysis by CASY® Cell Counter
… Holi-Colours contain particulates (particle diameter < 10 µm); analysis by CASY® Cell Counter Source: Umweltbundesamt The following … Tags fine dust Farbe … Holi-Colours contain particulates (particle diameter < 10 µm); analysis by CASY® Cell Counter …